IBGE aponta Umuarama como uma das cidades com menores índices de analfabetismo no Paraná
Em todo o Paraná, 96% dos 399 municípios também registraram melhora no indicador educacional
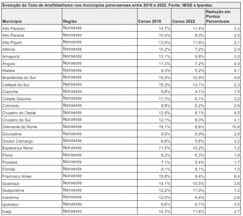
No noroeste paranaense, 83 dos 87 municípios conseguiram reduzir a proporção de pessoas analfabetas na população local entre 2010 e 2022, conforme dados divulgados pelo Instituto Brasileiro de Geografia e Estatística (IBGE). O número representa quase 98% das cidades da região. Em todo o Paraná, 96% dos 399 municípios também registraram melhora no indicador educacional. Umuarama está no ranking dos municípios com menores índices de analfabetismo, com 4,2%.
A maior queda na taxa de analfabetismo ocorreu em Diamante do Norte, onde 19,1% da população com 15 anos ou mais não sabia ler e escrever em 2010, caindo para 8,6% no levantamento de 2022. Outras quedas expressivas na região foram registradas em Presidente Castelo Branco (de 12,4% para 5,2%), São Jorge do Ivaí (de 14,5% para 7,5%), Itaguajé (de 11,4% para 4,5%) e Francisco Alves (de 15,8% para 9,4%).
Maringá, cidade mais populosa do Noroeste, manteve a liderança regional em alfabetização, reduzindo de 3,3% para apenas 2% a parcela da população que não sabe ler e escrever. Completam o ranking dos municípios com menores índices de analfabetismo Sarandi (4,1%), Cianorte (4,1%), Umuarama (4,2%) e Marialva (4,5%).
A taxa geral de analfabetismo no Paraná, considerando toda a população do estado, passou de 9,5% em 2000 para 6,3% em 2010 e 4,3% em 2022. Este índice representa o melhor resultado da história e está abaixo da média nacional, em que 7% da população não sabe ler e escrever. Entre os estados brasileiros, o Paraná é o 6º com maior proporção de pessoas alfabetizadas.
Confira o ranking





(AEN e OBemdito)





